黑松山资源网 Design By www.paidiu.com
今天来聊聊域名投资入门。
域名:在域名出现之前,人们用IP地址来访问网站。但IP地址既长又没有意义,
但这怎么能难倒我们聪明的小伙伴们呢,他们立即想出来字符串代替的方法来访问网站,域名出现了。
ICANN:全称是The Internet Corporation for Assigned Names and Numbers(互联网名称与数字地址分配机构),负责在全球范围内对互联网唯一标识符系统及其安全稳定的运营进行协调的非营利组织,包括域名和IP的管理和分配。
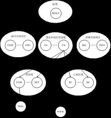
域名分级:小伙伴们借鉴了IP中以“.”点号隔开的写法,域名也可以用点号来隔开,形成很多级。以www.toutiao.com为例,从最右边开始,com为一级域名,toutiao为二级域名,www为三级域名....以此类推。理论上域名可以有无限级,但规定最多为5级;
域名分类:根据国际通行分类方法,域名可分为三大类:通用顶级域名、国家和地区顶级域名、新增顶级域名。
通用顶级域名:由ICANN直接管理,数据最多,运用最广,出现最早的一类,尤其是COM,更是顶级域名的代表,域名中的战斗机。
国家和地区顶级域名:又称国别域名,大部分由ICANN直接管理,有些则由ICANN分派给各个国家管理,如中国的顶级域名CN则由CNNIC管理。基于各国情和互联网的发展情况,各国别域名注册量、使用量都差别很大,如中国(CN)和德国(DE)的国别域名使用比较广泛,而某些小国家则使用较少。
新通用顶级域名:由ICANN管理监督,分派给各公司或组织管理,因此又称为商业域名。原则上讲,任何一个单位或组织,只要通过了审核,就能获得一个新顶级域名。所以新顶级域名是最多最杂的一类,最新统计,新顶级域名已经上千了,而且注册费相关很大,典型的如.bid注册费仅3元,而.car注册费则上万。

了解以上概念的基础上,我们就可以进行域名投资了。域名投资的原理非常简单:低买高卖(貌似等于没说),具体来说就是注册了域名,或放着,或推广,然后坐等升值,寻找买家。
注册域名是一个投入的过程,国内注册平台很多,万网、易名、西部等,主流域名的注册价格也不贵(50左右/个),但要注意,域名不是一杆子买卖,域名是需要每年续费的,续费价格一般比注册价格稍贵一点。
同时国内的注册平台,一般都准备了交易平台(一站式服务),我们把域名以大于注册价的报价发布到交易平台,这样就可以坐等买家赚钱了(偷着乐)。确实,整个流程就是这样,但并不是所有域名都能赚钱的,域名投资的核心是选域名。
坚持价值投资:价值投资是相对投机来讲的,选择一个域名,尽量是自己认真分析,查看搜索量、同类型使用量等来判断的,而不是人云亦云,炒一些无理由却还能火或价格注册量等波动量很大的类型。域名的最终用户是终端,从终端的角度去考虑,什么域名最受欢迎。
精准终端:指多看一些新闻,或者多搜索,专找一些使用域名很烂却流量或前景不错的网站,然后注册对应终端的漂亮域名,坐等收购。有的人是直接换个后缀,这样风险很大,毕竟终端掌握了商标,他完全有理由仲裁你的。
硬通货:所谓的硬通货一般是指X数X声X拼,硬通货的特点就是好卖,但一般价格不是很高。当然,硬通货的价格一般都是到同类似的域名注册完后,价格才能起来。
品相和意义:我对品相的理解比较苛刻:三字母以内、全部字母大写同高同宽、全部字母小写同高同宽、自然常用单词、意义适用广泛。比如COM,还有我最喜欢的ONE。
把握时机:玩域名时机很重要,这里指的是某个后缀或某种类型,入局早了,注册价格还降下来,市场还没活跃,这样资金就被套牢了,如果超过一年,还要增加续费钱。另外时机也指域名在手,有时候可能市场爆发期还没上来,有些心急的人,可能就先便宜出局了。
所以要经常监测注册量、交易量、交易价格等,做到心中有数。
学会得失:任何人都会失误,市场也会失误,不是所有域名都能赚钱。所以要及时清理手中的烂域名,可以低价处理,实在处理不了就不要再续费了。要时刻牢记,有失必有得。
新顶级:从去年(2015年)开始,新顶级便铺满市场,一些终端也开始启用新顶级,来势凶凶,大有替代原顶级江湖地位的气势。我的建议,新顶级挑一些好的玩玩就行了,只玩要只玩精品,万不可恋战。还有一些溢价域名,除非意义特别好的,否则别碰。毕竟新顶级后缀的数量太多了,玩不完的。
宣传推广:可以建站,可以做个米表,可以挂广告,可以去QQ群宣传,总之争取让更多的人知道你的域名,争取利用闲置域名赚点小钱。
流动资金:永远不要把钱一下全花完,这样你可能会错过下一个抢注的机会,你可能为了争一些非常漂亮的域名,把现有的域名低价抛售。
交流总结:多混到群里去讨论、多看新闻、总结常用米表词等,域名技巧学不完的。没有两个一样的域名,多分析,多发现,祝你成功。
域名:在域名出现之前,人们用IP地址来访问网站。但IP地址既长又没有意义,
但这怎么能难倒我们聪明的小伙伴们呢,他们立即想出来字符串代替的方法来访问网站,域名出现了。
ICANN:全称是The Internet Corporation for Assigned Names and Numbers(互联网名称与数字地址分配机构),负责在全球范围内对互联网唯一标识符系统及其安全稳定的运营进行协调的非营利组织,包括域名和IP的管理和分配。
域名分级:小伙伴们借鉴了IP中以“.”点号隔开的写法,域名也可以用点号来隔开,形成很多级。以www.toutiao.com为例,从最右边开始,com为一级域名,toutiao为二级域名,www为三级域名....以此类推。理论上域名可以有无限级,但规定最多为5级;
域名分类:根据国际通行分类方法,域名可分为三大类:通用顶级域名、国家和地区顶级域名、新增顶级域名。
通用顶级域名:由ICANN直接管理,数据最多,运用最广,出现最早的一类,尤其是COM,更是顶级域名的代表,域名中的战斗机。
国家和地区顶级域名:又称国别域名,大部分由ICANN直接管理,有些则由ICANN分派给各个国家管理,如中国的顶级域名CN则由CNNIC管理。基于各国情和互联网的发展情况,各国别域名注册量、使用量都差别很大,如中国(CN)和德国(DE)的国别域名使用比较广泛,而某些小国家则使用较少。
新通用顶级域名:由ICANN管理监督,分派给各公司或组织管理,因此又称为商业域名。原则上讲,任何一个单位或组织,只要通过了审核,就能获得一个新顶级域名。所以新顶级域名是最多最杂的一类,最新统计,新顶级域名已经上千了,而且注册费相关很大,典型的如.bid注册费仅3元,而.car注册费则上万。

了解以上概念的基础上,我们就可以进行域名投资了。域名投资的原理非常简单:低买高卖(貌似等于没说),具体来说就是注册了域名,或放着,或推广,然后坐等升值,寻找买家。
注册域名是一个投入的过程,国内注册平台很多,万网、易名、西部等,主流域名的注册价格也不贵(50左右/个),但要注意,域名不是一杆子买卖,域名是需要每年续费的,续费价格一般比注册价格稍贵一点。
同时国内的注册平台,一般都准备了交易平台(一站式服务),我们把域名以大于注册价的报价发布到交易平台,这样就可以坐等买家赚钱了(偷着乐)。确实,整个流程就是这样,但并不是所有域名都能赚钱的,域名投资的核心是选域名。
坚持价值投资:价值投资是相对投机来讲的,选择一个域名,尽量是自己认真分析,查看搜索量、同类型使用量等来判断的,而不是人云亦云,炒一些无理由却还能火或价格注册量等波动量很大的类型。域名的最终用户是终端,从终端的角度去考虑,什么域名最受欢迎。
精准终端:指多看一些新闻,或者多搜索,专找一些使用域名很烂却流量或前景不错的网站,然后注册对应终端的漂亮域名,坐等收购。有的人是直接换个后缀,这样风险很大,毕竟终端掌握了商标,他完全有理由仲裁你的。
硬通货:所谓的硬通货一般是指X数X声X拼,硬通货的特点就是好卖,但一般价格不是很高。当然,硬通货的价格一般都是到同类似的域名注册完后,价格才能起来。
品相和意义:我对品相的理解比较苛刻:三字母以内、全部字母大写同高同宽、全部字母小写同高同宽、自然常用单词、意义适用广泛。比如COM,还有我最喜欢的ONE。
把握时机:玩域名时机很重要,这里指的是某个后缀或某种类型,入局早了,注册价格还降下来,市场还没活跃,这样资金就被套牢了,如果超过一年,还要增加续费钱。另外时机也指域名在手,有时候可能市场爆发期还没上来,有些心急的人,可能就先便宜出局了。
所以要经常监测注册量、交易量、交易价格等,做到心中有数。
学会得失:任何人都会失误,市场也会失误,不是所有域名都能赚钱。所以要及时清理手中的烂域名,可以低价处理,实在处理不了就不要再续费了。要时刻牢记,有失必有得。
新顶级:从去年(2015年)开始,新顶级便铺满市场,一些终端也开始启用新顶级,来势凶凶,大有替代原顶级江湖地位的气势。我的建议,新顶级挑一些好的玩玩就行了,只玩要只玩精品,万不可恋战。还有一些溢价域名,除非意义特别好的,否则别碰。毕竟新顶级后缀的数量太多了,玩不完的。
宣传推广:可以建站,可以做个米表,可以挂广告,可以去QQ群宣传,总之争取让更多的人知道你的域名,争取利用闲置域名赚点小钱。
流动资金:永远不要把钱一下全花完,这样你可能会错过下一个抢注的机会,你可能为了争一些非常漂亮的域名,把现有的域名低价抛售。
交流总结:多混到群里去讨论、多看新闻、总结常用米表词等,域名技巧学不完的。没有两个一样的域名,多分析,多发现,祝你成功。
黑松山资源网 Design By www.paidiu.com
广告合作:本站广告合作请联系QQ:858582 申请时备注:广告合作(否则不回)
免责声明:本站资源来自互联网收集,仅供用于学习和交流,请遵循相关法律法规,本站一切资源不代表本站立场,如有侵权、后门、不妥请联系本站删除!
免责声明:本站资源来自互联网收集,仅供用于学习和交流,请遵循相关法律法规,本站一切资源不代表本站立场,如有侵权、后门、不妥请联系本站删除!
黑松山资源网 Design By www.paidiu.com
暂无评论...
RTX 5090要首发 性能要翻倍!三星展示GDDR7显存
三星在GTC上展示了专为下一代游戏GPU设计的GDDR7内存。
首次推出的GDDR7内存模块密度为16GB,每个模块容量为2GB。其速度预设为32 Gbps(PAM3),但也可以降至28 Gbps,以提高产量和初始阶段的整体性能和成本效益。
据三星表示,GDDR7内存的能效将提高20%,同时工作电压仅为1.1V,低于标准的1.2V。通过采用更新的封装材料和优化的电路设计,使得在高速运行时的发热量降低,GDDR7的热阻比GDDR6降低了70%。
更新日志
2026年01月31日
2026年01月31日
- 小骆驼-《草原狼2(蓝光CD)》[原抓WAV+CUE]
- 群星《欢迎来到我身边 电影原声专辑》[320K/MP3][105.02MB]
- 群星《欢迎来到我身边 电影原声专辑》[FLAC/分轨][480.9MB]
- 雷婷《梦里蓝天HQⅡ》 2023头版限量编号低速原抓[WAV+CUE][463M]
- 群星《2024好听新歌42》AI调整音效【WAV分轨】
- 王思雨-《思念陪着鸿雁飞》WAV
- 王思雨《喜马拉雅HQ》头版限量编号[WAV+CUE]
- 李健《无时无刻》[WAV+CUE][590M]
- 陈奕迅《酝酿》[WAV分轨][502M]
- 卓依婷《化蝶》2CD[WAV+CUE][1.1G]
- 群星《吉他王(黑胶CD)》[WAV+CUE]
- 齐秦《穿乐(穿越)》[WAV+CUE]
- 发烧珍品《数位CD音响测试-动向效果(九)》【WAV+CUE】
- 邝美云《邝美云精装歌集》[DSF][1.6G]
- 吕方《爱一回伤一回》[WAV+CUE][454M]